华南师范大学物理学院/科研新闻 2026-01-13 08:52:00 来源:华南师范大学物理学院 点击: 收藏本文
我院肖洋教授指导课程与教学论专业研究生洪文婷采用改编的Stroop范式,揭示抑制控制在物理实验数据评估中的关键作用。2025年12月19日,相关成果以“Overcoming the ‘more measurements, the better’ intuitive heuristic in physics data evaluation: The role of inhibitory control”为题,发表于国际物理教育研究权威期刊Physical Review Physics Education Research(文章链接:https://journals.aps.org/prper/abstract/10.1103/lw7v-86jq)。我院研究生洪文婷为第一作者,肖洋教授、心理学院余可可副教授、东南大学包雷教授、东北师范大学戴瑞老师为共同通讯作者。该研究的合作者还有肖洋教授博士生李彤、四川师范大学王力老师。该研究受到国家自然科学基金的支持。
在数据时代,批判性地评估物理实验数据的能力愈发重要。然而,学生在评估实验数据质量时常依赖直觉性判断,典型例子便是认为“测量次数越多,数据质量越高”(MMB, More Measurements, The Better),这一迷思概念忽视了数据的离散程度。结合概念转变的共存理论,课题组认为物理实验领域的这类迷思概念也可能与相应的科学概念共存,在完成相关的任务时自动触发基于迷思概念的推理,因而需要调用抑制控制(抑制住自己的冲动、本能的认知过程,以便执行与自己预期目标相符的有关行为)来克服迷思概念带来的干扰、从而正确运用科学知识。
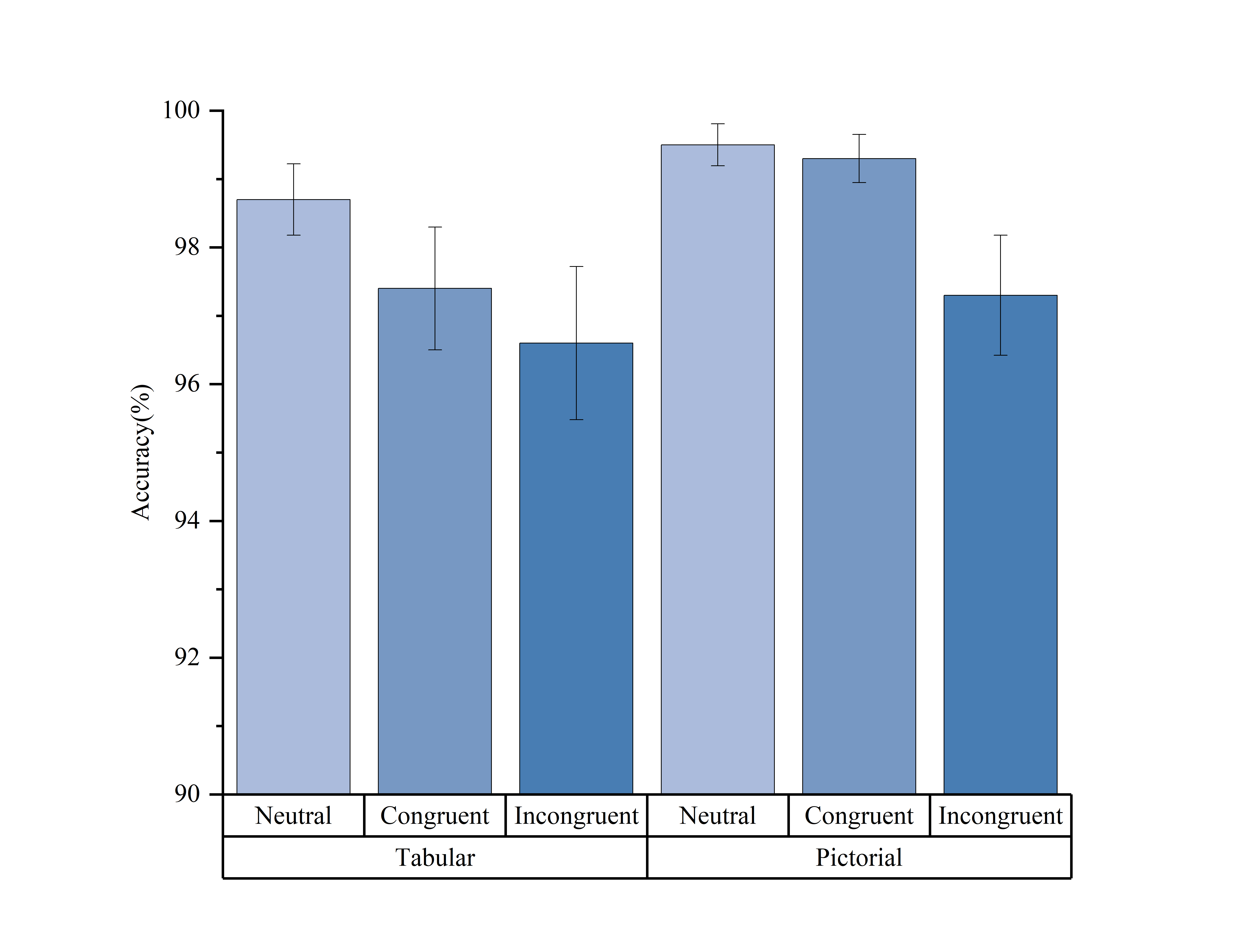
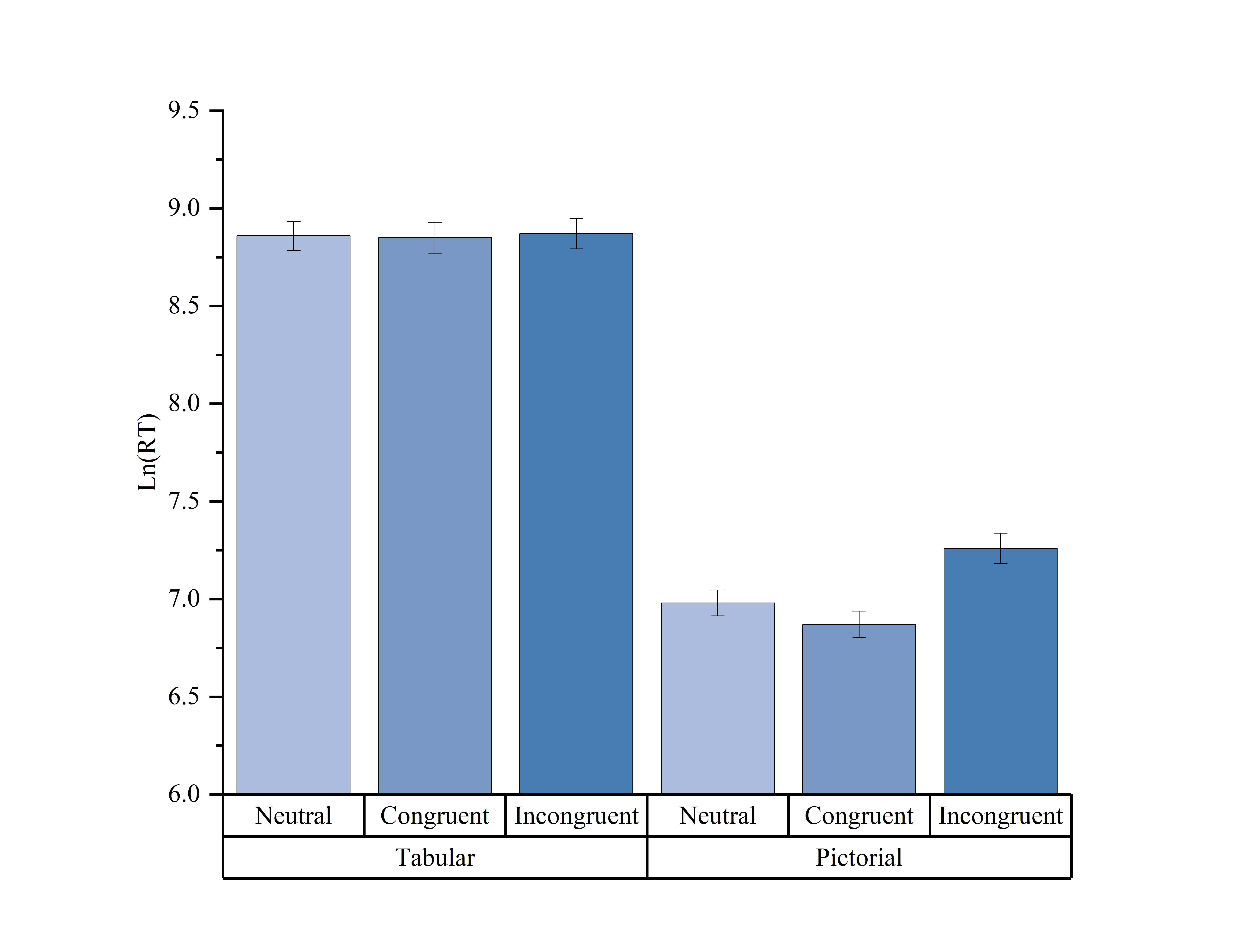
基于上述猜想,课题组采用改编的Stroop范式,要求物理专业的本科生根据方差/数据分布判断两组数据中哪组数据质量更好,考察抑制控制是否参与克服MMB的迷思概念。实验根据基于迷思概念与科学概念的判断是否一致,设计了一致(测量次数多且方差小)、不一致(测量次数多但方差大)和中性(测量次数相同)三种条件,以及数据常见的表征形式(表格和示意图)的任务。
研究在两种不同表征下都揭示出Stroop效应,不一致条件的准确率显著低于一致条件。而在反应时方面,仅示意图表征时存在Stroop效应(不一致条件反应时长于一致条件)。上述结果提示抑制控制可能在两种表征下都参与克服MMB的迷思概念干扰,并且直观的示意图表征可能引发更强烈或更持久的启发式冲突,而表格表征可能激发更高的认知加工需求从而削弱了反应时指标对Stroop效应的敏感性。
本研究首次在物理实验数据评估领域证实了抑制控制参与克服迷思概念的作用,拓展了概念转变共存理论与抑制控制作用的范畴,同时揭示表征形式对抑制控制需求的调节作用。研究建议在物理教学要合理设计数据表征方式,注重降低启发式干扰、促进科学推理。
基于Stroop范式设计的物理实验数据评估任务材料示例

不同刺激条件与表征形式下的正确率(ACC)和反应时对数值(ln(RT))